Skip to content

如何取消某些运算符后面的空格?例如 *x 之间的空格

如何取消某些运算符后面的空格?例如 *x 之间的空格

数学模式对于不同符号有不同的排版规则,可以使用 class 更改符号类型。

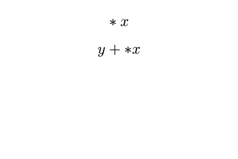
typst
$ *x $

$ y + class("unary", *) x $
Typst compiled image
What do you think?
  • 0
  • 0
  • 0
  • 0
  • 0
  • 0
Comments
  • Latest
  • Oldest
  • Hottest
Powered by Waline v3.5.1

基于 MIT 许可发布